Completiamo l’analisi cominciata nell’articolo precedente sugli elementi insolubili in acqua con carica elettrica +3, +4 e +5 analizzando il comportamento del carbonio C.
Come il fosforo, si tratta di un altro elemento molto utilizzato dalla natura per la costruzione della materia vivente. Applichiamo la formula solita:

sempre in condizione di pH = 7 e considerando che:
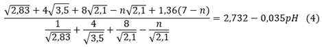
– la carica elettrica è pari a z = +4
– il numero di molecole d’acqua solvatanti in zona A è pari a k = 3
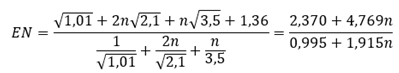
– l’elettronegatività del carbonio è pari a EN(C) = 2,50
otteniamo un numero di protoni pari a n = 5, cioè ancora una volta una forma aggregata fortemente complessante del tipo (HCO3)– che si lega facilmente col calcio per dare un prodotto molto stabile quale è il carbonato di calcio CaCO3. Il carbonio è un elemento indispensabile per la materia vivente e si trova in atmosfera sottoforma di anidride carbonica CO2 responsabile, come sappiamo dell’effetto serra. Per evitare concentrazioni troppo elevate di anidride carbonica in atmosfera che indurrebbe un riscaldamento globale insopportabile per gli esseri viventi, ecco che viene fissata dal calcio sottoforma di calcare solido(1).
Nei mammiferi d’allevamento (ma il discorso vale anche per l’uomo), lo ione (HCO3)– viene utilizzato per liberare carbonio sottoforma di CO2(2).
Ma in carbonio si lega all’idrogeno con un’elettronegatività differenziale minima. Applicando la formula soprariportata considerando lo ione CO3+ (z = +3) anziché lo ione CO4+ (z = +4)e 2 molecole d’acqua solvatanti (k=2) anziché 3 (k = 3) come fatto sopra, otteniamo n = 3,5(3); ciò consente la formazione dell’acido carbossilico responsabile del legame peptidico che a sua volta consente di costruire le proteine.
Applicando la formula soprariportata considerando lo ione CH22+ anziché lo ione CO4+ e 1 sola molecola d’acqua solvatante, otteniamo n = 2,2 che consente la formazione della formaldeide.
Infine applicando la formula soprariportata considerando lo ione CH3+ anziché lo ione CO4+ e 1 sola molecola d’acqua solvatante, otteniamo n = 0,5 che consente la formazione del metanolo(4).
Come vediamo il carbonio nelle sue forme idrocarbonate in soluzione acquosa, analizzato con questo modello mostra chiaramente che consente la formazione di composti importantissimi per la sussistenza della sostanza vivente (ioni carbonati, aldeidi, chetoni, acidi organici, alcoli, ecc.). Inoltre combinando più molecole di alcoli otteniamo gli zuccheri che, a loro volta, se policondensati formano i glucidi, mattoni essenziali per la materia vivente. Se poi combiniamo uno zucchero al fosforo otteniamo i nucleotidi dell’acido desossiribonucleico(5).
Il silicio (Si) appartiene anch’esso al gruppo del Carbonio, ma se proviamo a sostituirlo, facendo gli stessi calcoli, diversamente dal carbonio otteniamo dei policondensati. Ecco perchè la natura ha scelto il carbonio per costruire la materia vivente e il silicio per costruire le rocce(5).
Per concludere l’analisi degli insoluti facciamo un esempio anche di un elemento del gruppo 3 (z = +3): l’alluminio Al3+ che può essere solvatato da 4 o anche 6 molecole d’acqua. Facendo gli stessi calcoli sempre con pH = 7 otteniamo n = 2,9 con differenziale di elettronegatività assai elevato(6); infatti, una volta policondensato in soluzione acquosa e trattato termicamente si ottengono materiali resistentissimi sia meccanicamente, sia alle alte temperature. Nella forma di allumina (Al2O3) mostra le stesse caratteristiche de Titanio (Ti) e dello Zirconio (Zr) entrambi elementi con differenziali di elettronegatività assai più bassi di quello dell’alluminio. Questi materiali sono particolarmente adatti anche a formare ceramiche o sostanze vetrificate. Il rubino altro non è che l’allumina, nella sua forma naturale monocristallina più nobile, con durezza pari a 9 nella scala di Mohs.
Alluminio e silicio nonostante abbiano polarità opposte (l’uno in forma di catione e l’altro di anione) manifestano entrambe la medesima affinità verso l’ossigeno(7).
Con l’analisi degli elementi con valenza +3, +4 e + 5 abbiamo completato la disamina di ciò che accade in zona A e ciò ci ha dato la possibilità di capire molti meccanismi che stanno alla base della formazione di macromolecole e aggregati sia di natura organica che inorganica.
Nel prossimo articolo analizzeremo cosa invece accade in zona B dove il protagonista principale torna ad essere l’acqua con i suoi legami a idrogeno e, soprattutto nei suoi legami intermolecolari in forma polimerica.
Torino 25 aprile 2020
Gianfranco Pellegrini
Note
(1) Il pianeta venere, pur essendo molto simile alla terra è reso inospitale proprio per la presenza di CO2 libera in atmosfera. Oggi, nonostante questi espedienti che la natura ha escogitato, l’effetto serra è fuori controllo per via delle emissioni nocive in atmosfera dovute alla esagerata combustione di combustibili fossili. Per ora la natura non si è ancora riorganizzata a contrastare questa insidia e dunque assistiamo ad un preoccupante incremento dell’effetto serra con conseguente riscaldamento globale ormai fuori controllo.
(2) Ciò aiuta la digestione quando si mangia o si beve troppo.
(3) Rispetto a prima dove lo ione interessato era C4+, ora si tratta di un equilibrio al 50% fra n = 3 (corrispondente alla forma HCOOH) e n = 4 (corrispondente alla forma ionica HCOO–). In questi ragionamenti si fa uso di forme utilizzate solo ai fini del calcolo termodinamico e che potrebbero anche non essere riscontrabili sperimentalmente.
(4) Questo ione consentirebbe anche la formazione della forma CH3OH2+ non riscontrabile in laboratorio. Ciò è dovuto al fatto che l’approccio lagrangiano porta ad un metodo semplificato che si comporta molto bene nei casi di differenziali di elettronegatività elevati mentre presta il fianco nei casi di differenziali deboli. In questo caso il fatto che il legame covalente con lo ione CH3+ non è tenuto in conto dal modello da ragione della discrepanza fra le previsioni del modello ed il riscontro sperimentale.
(5) Mentre il carbonio grazie alla valenza +4 ed al legame covalente con l’ossigeno da origine molto facilmente a polimeri molto plastici; il silicio, pur avendo anch’esso valenza 4 come il carbonio, legandosi all’idrogeno da un differenziale di elettronegatività molto forte, da origine a polimeri molto rigidi e amorfi (forme vetrose di vario genere). Comunque, indipendentemente dalla forma fisica dei polimeri anche il silicio, come il carbonio si presta a polimerizzazioni di vario genere e anche molto grandi in analogia a ciò che accade col carbonio. In ogni caso, anche nel caso del Carbonio, quando il differenziale di elettronegatività diventa molto elevato si ottengono forme polimeriche rigide come nel caso della cellulosa che da al legno una certa consistenza solida nonostante si tratti di materia organica.
(6) q(Al) è pari a 0,68 nel caso di 4 molecole d’acqua solvatante e 0,62 nel caso di 6 molecole d’acqua.
(7) La silice e l’allumina (assieme alla calce viva CaO) si combinano facilmente fra loro per costruire la maggior parte della materia costituente la crosta terrestre. Il cemento da costruzione è un esempio di combinazione di questi tre composti. Le argille silico-alluminose sono un esempio di combinazione fra silice ed allumina.



































